

Bharat S. Rawal, Anjan Biswas, Raman Singh
Contemporary Mathematics
Saeed Zibaee, Shiva Soleimani, Fatemeh Khalilollahi, Mojgan Sarani
Applied Microbiology: Theory & Technology
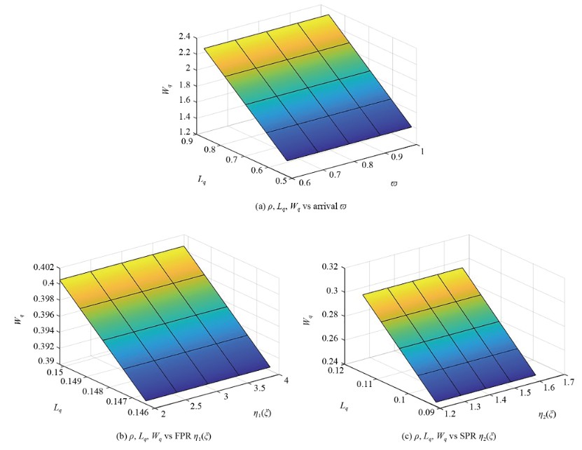
Elumalai P, Parthiban A
Contemporary Mathematics
Martina Schwager, Felix Deuringer, Michael Moser, Johannes Ostermair, Jenni Richter
Advanced Energy Conversion Materials
Zacharie Merlin Ayissi, Bernard Nchare, Nazia Hossain, Severin Mbog, Stéphane Lontsi Kenfack, Dieudonné Bitondo
Advanced Energy Conversion Materials
Anceita Jepleting, Doricah Moraa, Dorcas Cheptoo, Achisa C Mecha
Sustainable Chemical Engineering
Mathew Gideon, Emmanuel K. Duniya, Mamman A. James
Industrial Bioresource Engineering
Samah A. Hawash, Ahmed M. Enew, Mahmoud H. Mahmoud, Safaa R. Fouda
Fine Chemical Engineering